

JGD200多级离心鼓风机
风机分类:离心风机
产品简介:D系列多级离心式鼓风机性能规范表 锦工多级离心鼓风机特点 1、主机部分:鼓风机主机,电动机(一般型、户外型、防爆型),主机与电动机联合公共底座, 主机与电动机直联联轴器。 2、附件部件:弯管,消声器,过滤器,一般用途丝网型过滤器,特殊用途(微孔曝气等)
产品介绍

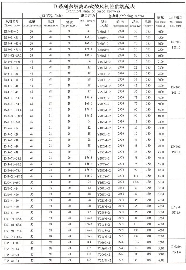
D系列多级离心式鼓风机性能规范表
锦工多级离心鼓风机特点1、主机部分:鼓风机主机,电动机(一般型、户外型、防爆型),主机与电动机联合公共底座, 主机与电动机直联联轴器。 2、附件部件:弯管,消声器,过滤器,一般用途丝网型过滤器,特殊用途(微孔曝气等)低、中高级过滤 器。
3、配套部分:风机进口碟阀(手动型、机动型),电动机控制起动柜,挠性接头
D系列多级离心鼓风机为多级、单吸入、双支承结构。采用联轴器传动,从电机端看,鼓风机为顺时针方向旋转,风机有高速和低速两种,主轴采用钢性轴设计,非接触性曲折式密封,不会磨损及发热,密封性极佳,轴承座与壳体分开。
机壳均由灰铸铁制成。D400以下风机机壳径向剖分、整体串联式。转子的主轴用优质碳钢制成,叶轮采用铝合金铸造。D400-2以上的鼓风机,,风机机壳为整体串联式,主轴用高强度合金钢制成,叶轮采用高强度合金钢制成。每级叶轮进口圈处、级间和机壳两端装有迷宫式密封,以防气体泄漏。鼓风机转子经静、动平衡校正、运转平稳。多级离心鼓风机采用滚动轴承和滑动轴承,D400以下一般采用滚动轴承,采用锂基润滑脂润滑;大号机组采用滑动轴承,采用压力供油强制润滑,润滑油为32号或46号透平油,润滑系统包括主轴泵、电机油泵、油箱、油冷却器,滤油器及高位油箱等。由于停电而停机时,高位油箱能继续维持一定时间的润滑,确保机组安全停机。

钢铁冶炼

脉冲除尘

污水曝气

化工造气
![]()
![]()













